本笔记内容或有错误,仅供参考
本文 All Right Reserved 保留所有权利,禁止商用和任何形式的转载!
Unit 1: Thinking Geographically
Intro to Geography
Eratosthenes 发明了 Geography 这个单词
- “Geo” means “Earth” and “graphy” means “to write.”
Immanuel Kant 康德 总结了地理学和历史学的关系
- Geography 在于 Where and Why
- History 在于 When and Why
Why of Where 是人文地理的核心问题,解释为什么特定模式在这里发生
- Explanations for why a spatial pattern occurs
Place 指的一般是具体的一个地点(也可以说是Location)
Toponym 地名
- 常与人物,历史有关
- 例如,伊丽莎白一世,是 Virgin Queen,为了表达对女皇的忠诚将北美殖民地中一块地名称之为 Virginia
Scale 研究尺度,从 Global 到 Local
Space 研究对象间的物理间隔
Connection 人与对象之间在空间的联系

Region 指的一般是地球上的一个区域,比如拉丁美洲,美国南部

Geographic Tools
Map
- Map Scale 地图比例尺
Ratio 以比例形式的,1:100,000,000
Written 以书面语形式的,1 centimeter equals 10 kilometers
Graphic 以图形标尺形式的

- Map Types 地图类型
Topographic Map 地形图

Thematic Map 主题地图
Choropleth Map 等值区域图
- 可识别的区域按照变量的测量比例进行阴影或图案化。例如,颜色较深的区域可能代表数据的最高范围。

Isoline Map 等值线图

Dot Density Map 点密度图
点分布图将数据描绘成点,并显示这些点是如何聚集在一起或分布在一个区域内。每个点代表一个预先确定的观测值,可以是一个,也可以是很多。

Graduated Symbol Map 渐变符号图
- 渐变符号图显示的颜色深浅大小随变量的值而变化。较高的数值通常用较深色表示。

Cartogram 统计示意图
- 统计量与显示面积成正比

Flow-line 运动线图 e.g immigrants

Projection
- Projection 投影 将地球表面的位置转移到平面地图上的方法
- 投影可能造成的扭曲 (SSDD)
- Shape
- Size
- Distance
- Direction
- 常见投影
- Equal-area Projection 等面积投影
- Lambert, Peter Projection
- Distort Shape 形状扭曲
- Equal-area Projection 等面积投影

- Conformal Projection 保形投影
- Mercator Projection
- 大小扭曲
- Balance Projection 均衡投影
- Robinson Projection
- 在4个方面都有扭曲
- 最平衡
- 适合航行
- Goode's Homolosine Projection
- 方向扭曲
- 距离扭曲 
Geographic Grid System
- Latitude 纬度
- Equator 赤道,即 \(0^\circ\) 纬线
- Longitude / Meridian 经度
- Prime Meridian 本初子午线,即 \(0^\circ\) 经线
- International Date Line 国际日期变更线
- Time Zone 时区
- 15-degree-wide \(15^\circ\) 一个时区(国家为了统一时间可能有所区别)
Geographic Model
- Spatial Models e.g: Urban Models
- Non-spatial Models e.g: Demographic Transition Model
- Population Models
- Demographic Transition
- Epidemiological Transition
- Malthusian Theory
- Population Pyramids
- Agriculture Models
- Von Thunen‘s Model of Isolated State
- Urban Models
- Central Place Theory
- Concentric Zone
- Sector
- Multiple-Nuclei
- Galactic City
- Latin American City
- Gravity Model
- \(G = \frac{P_1P_2}{\text{Distance}}\)
History of Geographic Tools
- Abraham Ortelius 亚伯拉罕·奥特柳斯,在 15th 发明了世界上第一本地图册
- Gerardus Mercator 杰拉杜斯·麦卡托于 15th 发明了 Mercator 投影法
- Carl Sauer 卡尔·绍尔,人文景观,环境可能论(Possibilism)
- George Perkins Marsh,Conservationist
Contemporary Geographic Tools
- GIS(Geographic Information
Systems)地理信息系统,包含两种类型的数据,Vector 和 Raster。其中 Vector
含有一系列点和线的信息,比如城市和高速公路。Raster 则包含的是地貌信息。
- Geotagging 包含经纬度的位置信息
- Mashup Map 多个不同纬度的数据混合(Mashup)在一起的地图
- Remote Sensing 遥感
- Aerial Photography 航空摄影
- Satellite-based Remote Sensing 卫星遥感
- Global Positioning System 全球定位系统
Central Concept
Regions
- Formal 正式划分的区域
- Homogeneous Characteristic 均一性特征,区域内一定有均一性特征,但不完全相同
- Boundary 边界
- Cultural - Fuzzy 文化性边界很模糊
- Political - Well-defined 政治边界很确定
- Environmental - Transitional 环境边界是过渡性但
- Functional / Nodal Region 功能性区域
- Central Place
- Area of Influence 区域辐射
- Intervening Opportunity 介入机会,更近距离的地点会替代远距离的地点
- 例如 商场,电视台
- Vernacular / Perceptual Region / Mental Map 感知区域
- 例如 Chinatown 唐人街
Distance
- Linear Absolute Distance 两点间直线距离
- Relative Distance 相对距离 / Topological Space 拓扑空间 (Relative
Location 并不是 Relative Distance)
- Distance Decay 距离衰减论
- Tobler’s Law
- Friction of Distance 距离摩擦论
- Space-time Compression 时空压缩
- Hub-and-spoke 交通枢纽,Space-time Compression 的体现
- 运输和互联网技术造成了时空压缩
- Transportation
- Internet
Site and Situation
- Site 地点,不比较
- 比如山地湖泊这种物理特征
- Situation 环境,与其他地区的联系,有比较
- 比如上海比周边经济体的增速都要快
Diffusion
- Diffusion 的方式有如下几种
- Assimilation 同化,一种文化取得主导地位
- Acculturation 共存
- Syncretism 融合,产生新的文化
- Hearth 是 Diffusion 传播的起点,文化的起源
- Expansion Diffusion 扩张扩散
科技提升使得 Expansion Diffusion 更快
Hierarchical Diffusion 等级制传播
- 从更高等级(政治等级,文化等级)向下传播
- 比如某个文化从北京先到上海和深圳这种一线城市,再往下一级城市传播
- 同等级更快

Contagious Diffusion 传染式传播
- 比如 Youtube 视频,Wechat 文章,对受众没有要求和门槛

Stimulus Diffusion 激发式传播

- 从一个文化,激发出了多种其他到文化
- 比如 iPhone 激发了其他手机变成触屏智能机
- 素食主义激发了当地更多餐馆变成素食餐馆
- Relocation Diffusion 迁居扩散
- 跨地域传播,通常是 Migration

Sustainable
Natural Resource 自然资源
- Biotic 生物资源,动物植物
- Abiotic 非生物资源
- Atmosphere 大气层
- Hydrosphere 水层
- Monsoon 季风气候
- Lithosphere 岩石圈
- Renewable Resource 可再生资源
- 再生速度大于使用速度
- 竹木,核燃料
- Nonrenewable Resource 不可再生
- 再生速度小于使用速度
- 石油,煤炭
Sustainability 可持续发展
- Social 社会平等
- Environment 环境保护
- Economic 经济发展

资源环保
- Conservation
- 禁止过度开采,省着用
- Preservation
- 禁止开采资源,人类没有权利破坏自然,一草一木皆生命
- Conservation
Ecology 生态
- Atmosphere
- Biosphere
- Hydrosphere
- Lithosphere

Cultural Ecology
Environmental Determinism 环境决定主义
- 在人类对环境改变的力量比较小的时候,只能适应环境
Environmental Possibilism 环境可能主义
- 科技进步和发展,填海造陆等
TD Outline


Unit 2: Population and Migration Patterns and Processes
Population
Density
- 人口需要在地区之内保持平衡,并不是所有地区都是 Overpopulation
- Carrying Capacity
- 承载能力是在给定可用资源(例如食物和水)的情况下,环境可以无限期维持的物种的最大种群规模。
- Overpopulation
- 当人数超过环境容量(Carrying Capacity)以维持体面生活水平的能力时,人口就会过多。
- Arithmetic Density 算术密度,总人口 / 总土地,反映人口在哪里密集
- Physiology Density 耕地密度,总人口 / 可耕土地,反映供给效率
- Agricultural Density 农业密度,农民 / 可耕土地,反映耕种效率
- Ecumene: 有人居住的地区
Population
- Natural Increase Rate(NIR) 自然增长率 \(\text{NIR} = \frac{\text{CBR } - \text{ CDR}}{10}\)
- Doubling Time 人口翻倍所需的时间 \(\text{Doubling Time} = \frac{70}{\text{NIR}}\)
- Life Expectancy 预期寿命
- Crude Birth Rate(CBR) \(\text{CBR} = \frac{\text{Number of Birth}}{\text{Total Population}} \times 1000\)
- Crude Death Rate(CDR) \(\text{CBR} = \frac{\text{Number of Birth}}{\text{Total Population}} \times 1000\)
- Net Migration Rate(NMR) \(\text{NMR} = \frac{\text{Number of Immigrants - Number of Emigrants}}{\text{Population} \div 1000}\)
- Population Growth Percentage Rate 人口总增长率 \(\text{NIR} + \text{NMR}\)
- Total Fertility Rate(TFR) \(\text{TFR} =
\frac{\text{Number of Children Born}}{\text{Women Aged 15 to
45}}\)
- The Replacement Rate 更替生育率稳定 TFR 数值在 2.1 左右,也就是两个人生两个人
- Dependency Ratio 依赖比是指不能工作和适龄工作者的比值
- 受扶养人比率越大,有工作的人抚养没有工作的人的经济负担就越大。
- 同向变化
- Youth Dependency Ratio 青年人口比率
- Elderly Support Ratio 抚养比,工作者比不能工作者
- Women Empowerment 可以降低生育率,女性地位平等
Demographic Transition
Stage 1 - Low Growth
极高 CBR,极高 CDR,极低 NIR
Stage 2 - High Growth
持续高 CBR,下降 CDR,极高 NIR
Stage 3 - Moderate Growth
极速下降 CBR,慢速下降 CDR,稳定 NIR
Stage 4 - Low Growth
极低 CBR,低 略微上升 CDR,0 甚至负 NIR
Possible Stage 5 - Negative Growth
- 极低 CBR,上升 CDR,负 NIR
Limitation
- DTM 没有考虑移民
- 忽略了自然灾害和战争
- 阶段之间的时间间隔

Population Pyramid 人口金字塔

19th - 20th 欧洲工业革命造成 TFR 下降
Epidemiologic Transition
- Epidemiology 流行病学
- Epidemiologic
Transition:着重于人口结构转型的每个阶段的独特健康威胁。
- Stage 1 - Pestilence & Famine 瘟疫和饥荒
- Stage 2 - Receding Pandemics 衰退的大流行病
- Stage 3 - Degenerative Diseases 退行性疾病
- Stage 4 - Delayed Degenerative & Lifestyle Diseases 迟发性退行性疾病和生活方式疾病
Population Theory Model
Malthusian Theory 马尔萨斯理论,禁欲 / 控制人口
- 认为资源是线性增长而人口指数增长,资源跟不上人口的增长
- 技术进步使得资源也可以线性增长
- Positive Check 战争,饥荒是对人口的 Positive Check
- Preventive Check 道德约束,是限制人口增长

Neo-malthusian Theory 新马尔萨斯理论,人的需求会增长的很快,需要使用避孕措施
Pronatalist Policy 支持生育政策,支持高出生率
Antinatalist Policy 人口控制政策,支持低出生率
Migration
- Emigration 移出
- Immigration 移入
- Net in-migration 净移入
- Net out-migration 净移出
- Circulation 周期性移民
- International migration 国际移民
- Voluntary 自愿
- Forced 强迫
- Internal migration 国内移民
- Interregional 区域间移民,如从北方到南方
- Intraregional 区域内移民,更小尺度,如从 urban 到 suburban
- Unauthorized Immigrants 非法移民
- Unauthorized Immigrants 中性
- Undocumented Immigrants 积极,觉得你可以移民
- Illegal Alien 消极,觉得你应该受限
Comparing the Demographic Transition and Migration Transition

Reason of Migration
- Push Factor 推动力,当前位置的推动因素,如战乱
- Pull Factor 吸引力,目标位置的吸引因素,如高福利
- 环境的主要因素
- Climate
- Elevations
- Seacoasts
- Disease
- Cultural Migration 文化移民
- 通常因为 Political Conflict
- Refugee 难民,被迫离开国家
- Internally Displaced Person (IDP) 国内难民,是指被迫逃离家园但仍在其母国境内的人。他们在法律意义上,不属于难民
- Asylum seeker 想成为难民,如申请政治庇护
- Attractive Environment 环境优美
- Intervening Obstacle 环境或政治因素阻止移民
- Remittance 汇款,移民会把钱汇款回家
- Guest workers 客工,临时获准在另一个国家工作的人
- Brain Drain 人才流失
- Transhumance 放牧,季节性迁徙
Migration Selectivity
- Age 年龄因素,年轻人(18 - 30 岁)更愿意移民
- Education 教育因素,教育水平越高,移民距离越远
- Chain Migration 连锁移民,一个人移民,亲朋好友都移民
- Ethnic Neighborhoods 族裔聚集地,如 Little Italics 或 Chinatowns
U.S. Migration Patterns
U.S. Quota Law 1924 年,基于 1910 年人口普查增长 2%,1965 年开始放宽
United States 1950 and 2010 工人从北方移民到南方寻求更温暖的气候条件
Ellis Island 纽约移民中转岛

U.S. Migration Trend 移民趋势

Unit 3: Cultural Patterns and Processes
Cultural Patterns
- Non-material Culture 非物质文化
- Values 价值观
- Beliefs 信仰
- Behaviors / Norms 行为规范
- Material Culture 物质文化
- Artifacts 手工艺品
- Architecture 建筑
- Cultural Divergence 文化随着时间的推移变得不那么相似的可能性或趋势
- Cultural Convergence 文化随着时间的推移变得相似的可能性或趋势
- Sequent Occupance
Cultural Diffusion
- Cultural Hearths 文化发源地
- Folk Culture 传统文化
- 变动少,通常是通过 Migration → Relocation Diffusion 带到其他地方,扩散范围小,速度慢
- Popular Culture 流行文化
- 变动大,更普世,通常是 Hierarchical Diffusion 和 Contagious Diffusion 均可
Ethnocentrism and Cultural Relativism
- Ethnocentrism 民族中心主义
- the practice of judging another culture by the standards of one’s own culture 以自己文化的标准来评判另一种文化
- generates misunderstanding and sometimes conflict 产生误解,有时还会产生冲突
- Cultural Relativism 文化相对主义
- in Contrast to Ethnocentrism 与民族中心主义相对立
- the practice of evaluating a culture by its own standards 用另一种文化的标准来评价另一种文化
- put aside a person’s own cultural preferences and consider another culture based on its own people’s needs and values 抛开一个人自己的文化偏好,根据另一种文化的需求和价值来考虑它
Architecture
文化建筑
- Saltbox: 家庭成员比较多,增加房屋面积

- Federalist or Georgian: 政治因素,民主的象征,美国建国之后,罗马的柱子

- I-House: 位于房屋两端的壁炉和均匀倾斜的屋顶(Fireplaces on each end of the house and an even-pitched roof)。当 I-house 越过阿巴拉契亚山脉迁往中西部,并越过五大湖区迁往大草原省份时,其形式发生了变化,这便是 Relocation diffusion

- Christian: 中央尖塔或两个高大的钟楼,Basilica 巴西利卡建筑

- Catholic: 天主教,哥特式风格

- Orthodox: 东正教,更华丽

- Hindu: 很多小塔和雕刻的神像

- Buddhist: 宝塔,舍利塔



- Islam: 清真寺,洋葱头

Language
Linguistic Fragmentation,语言碎片化,小众语言
- Caucasus 高加索附近语言很混沌
- Scandinavia 斯堪的纳维亚语,瑞典语与挪威语,不算那么混沌
Indo-European Languages 印欧语系
- Romance Languages (Sub-family from Latin)
- English (被广泛使用)
- 被罗马帝国统治过的国家大多都是 Romance 语系
- 具体细节
- Spanish
- French
- Italian
- Hindi
- Portuguese
- Bengali
- Russian
- German
- Marathi
- Punjabi
- Urdu

- Romance Languages (Sub-family from Latin)
Afro-Asiatic 亚非语系

Altaic 阿尔泰语系,中亚
语系分布图

Argentina 阿根廷,西班牙殖民,西班牙语
Quebec 魁北克,法语
Nomadic Warrior Theory 库尔干人(Kurgans)最早使用印欧语,并通过战争扩散
Lingua Franca 通用语,促进贸易,如英语。
- Swahili 在非洲
Pidgin Language 是 Lingua Franca 的简化版,如中式英语。
Creole Language 殖民过程中 Synthesis 产生的语言。
Bilingualism 双语人
Multilingualism 多语人
Dialect 方言
- Isogloss 方言特定词的边界,即方言的边界
Religion
Atheism,无神论
Agnosticism,不可知论,上帝存在不存在我也不知道
Universalizing Religion,普世宗教,全球传播
Ethnic Religion,族裔宗教,小范围传播
Branch > Denomination > Congregation
Protestant 新教
Muslim,穆斯林,分为逊尼派(Sunni)和什叶派(Shia)
- Sunni,逊尼派,拥护 Ali
- Shia,什叶派
美国宗教分布

Shamanism 萨满教,南亚,蒙古
Paganism 异教,多神
Animism 万物有灵论
Voodoo 万物有灵和基督教 Syncretism 产物
Amish 阿米什人,主要分布在 Pennsylvania, Ohio, Indiana
- Anabaptist 再洗礼派
Day of the Dead 亡灵节
- Roman Catholic 与 Hispanic 本土信仰的混合产物
Race
- Ethnic Cleansing / Genocide 种族大屠杀
- Ethnic Enclave 小族裔被大族裔包围,一些族裔抗拒与其他族裔的交流,圈地自萌
- Ethnic Neighborhood 族裔聚集地,如 Chinatown
- Ethnic Separation / Ghetto 种族隔离
- Diaspora 侨民
Africa
TD Outline

Unit 4: Political Patterns and Processes
Boundaries
- Frontier 指的是在自然上的边界,喜马拉雅山脉分离 Nepal 和 India
- Disappeared 消失的
- French and Indian War (Seven Years’ War) 法印战争(7年战争)
- Boundary 指的是在政治上的边界,加拿大和美国的 49 度纬线
Boundary Type
- Types 类型
- Physical boundaries 物理边界
- Water boundaries 水域界限
- follow median-line principle 遵循中间线原则
- Ocean boundaries 海洋界限
- Controversial 有争议
- the Law of the Sea 1983 1983年《海洋法》规定
12 nautical miles for most countries 大多数国家为12海里
200 miles for fish and other marine life 对鱼类和其他海洋生物来说是200海里

- Water boundaries 水域界限
- Cultural Boundaries (or consequent boundaries)
文化界限(或随之而来的界限)
- Religion 宗教
- partition Pakistan from India 巴基斯坦脱离印度
- Language 语言
- France and Germany shifting back and forth 德法两语来回转换
- Ethnic 民族
- Austria-Hungary 奥匈帝国
- Bulgaria, Hugary, Poland, Romania 保加利亚,匈牙利,波兰,罗马尼亚
- Balkanization 解体
- Shatter Belts 境外势力进驻
- Austria-Hungary 奥匈帝国
- Religion 宗教
- Geometric Boundaries 几何界限
- North and South Korea 南北韩
- North and South Vietnam 越南北部和南部
- Antecedent Boundaries 先前边界,还没人住就划的边界
- 美加 49 度纬线
- French-Spanish border along the Pyrenees 沿比利牛斯山脉的法西边境
- Subsequent Boundaries 后续边界
- Cultural Boundaries 文化边界
- Superimposed Boundaries 不以文化或种族划定度边界
- Sub-Saharan Africa, Colonialism
- Relic 历史遗留边界,仅作为文化景观
- Scotland-England border after The Act of Union in 1652
- Physical boundaries 物理边界
Territorial
Shape
Compact 平整
- Shape without irregularity 四面平整
- e.g. Nigeria, Colorado 尼日利亚,科罗拉多
Fragmented 破碎
- Broken into pieces; archipelagos 破碎的版图;群岛
- e.g. Philippines, Newfoundland
Elongated 长条状
- Appears stretched-out, long 呈现长条状
- Chile, Tennessee
Prorupt 锅柄状
- Has a panhandle or peninsula 锅柄状或半岛
- Italy, Michigan
Perforated 刺穿状
- Has a hole(s) (country, large lake) 内部缺少一块陆地(取而代之的是飞地或湖泊)
- South Africa, Utah
Landlocked 内陆
- Has no sea or ocean borders 不接水域
- Switzerland, Wyoming
以非洲为例

Enclaves and Exclaves
- Enclave 内飞地,某个国家境内有块土地,其主权属于另外一个国家,则该地区称为此国家的内飞地。
- Exclave
外飞地,某国家拥有一块与本国分离的领土,该领土被其他国家包围,则该领土称为某国的外飞地。
如 Alaska 阿拉斯加
更多

Nation and State
- 无国家民族
- Kurds
- Basques
Nation-State
- Concept 概念
- occupied by a distinct nation or people 由特定民族或人民占领
- share a general sense of unity and allegiance to a set of common values 具有普遍的集体认同和共同价值观
- Variations 特殊情况
- More than one nation 多于一个国家
- Binational State 两国联盟
- Multinational State 多国联盟
- e.g., Soviet Union
- Stateless Nations 无国籍人士
- people without a state 没有国籍
- e.g.. Kurdish nationalism -> Iraqi War 2003
- More than one nation 多于一个国家
- Modern Challenges 现代挑战
- supernational organizations 超国家组织
- erating groups of nations that operate on either on a regional or international level 区域性或国际性跨国集团
- supernational organizations 超国家组织
Government Type
- 行政形式
- Democracy 民主
- Autocracy 独裁
- Anocracy 无政府
- 组织形式
- Unitary 单一制政府,自下而上分级,如中国
- Federal 联邦政府,相对 Unitary 州权利更大
- Confederal 邦联,州权最大
Gerrymandering
- 十年一次 Census 人口普查,重新划分选取
- 懂的都懂
Supranational Organizations
International Organization 和 Supranational Organization 的区别在于,Supranational Org 有立法权,是一套行政框架
详细

Modern Challenges
Choke Point 咽喉点,军事要地
ShatterBelts 代理人战争地区
Centripetal Forces 凝聚力
- Nationalism 民族主义
- Symbols 符号
- 旗帜,仪式和节日
- Institutions 机构
- 学校,武装力量,宗教
- 高速便捷的交通和通讯
- Symbols 符号
- Nationalism 民族主义
Centrifugal Forces 离心力
- Devolution 权力下放
- Ethnic Forces 民族力量
- Ethnonationalism 民族主义
- 基于独特的语言、宗教和习俗
- 魁北克省的法裔加拿大人
- 因印度教和佛教冲突建立的巴基斯坦
- 1990年代,民族国家南斯拉夫的瓦解
- Ethnonationalism 民族主义
- Economic Forces 经济力量
- “Ancona Line”将意大利分为南北两半
- 西班牙北部的 Catalonia 拥有 17% 的人口但占据 40% 的工业出口量
- Spatial forces 空间力量
- 遥远、偏僻或外围位置
- 波多黎各主张与美国完全分离
- Failed State 国家分裂,是 Devolution 的结果(而非原因)
- Ethnic Forces 民族力量
- Devolution 权力下放
Forces of Change 变革的力量
- Democratization 民主化
- Competitive Elections 竞选
- 公民权利,如言论自由、宗教自由、集会自由
- 法律规定为公民提供平等待遇和正当法治程序
- 中立的司法和对滥用权力的检查
- 开放的公民社会允许人们过私人生活
- 文职官员控制军队限制了军阀
- Market Economy 市场经济
- 民族、文化政治复兴
- Democratization 民主化
Terrorism 恐怖主义
Balkanization 分裂 / 解体

Irredentist 从某主权国独立出来

Overlapping Claims of Sovereignty 重叠的主权声明
- 欧洲国家的殖民土地主张往往与现有国家或其他帝国列强的土地主张重叠
State support for terrorism
- Provide sanctuary
- the Taliban gained power in Afghanistan inn 1995
- imposed strict lslamic fundamentalist law
- sheltered al-Qaeda leaders including bin Laden after 9/11
- Supply terrorists
- Iraq
- Gulf War in 1991, failed to remove Saddam Hussein from power
- U.S. asserted Hussein had weapons of mass destruction, as well as close links with al-Qaeda in 2003
- mired in Civil War between Shiites and Sunnis, and under control of Islamic State
- Iran
- lran revolution forced abdication of pro-U.S. Shah Mohammad Reza Pahlavi
- Shiite supporters of exiled fundamentalist Ayatollah Ruholiah Khomeini
- Iran hostage crisis until 1981 and nuclear program
- Iraq
- State terrorist attacks: Libya
- Muammar el-Qaddafi ruled until 2011
- active sponsor of terrorist attacks
- Islamic State is active after Qaddafi died
Unit 5: Agriculture and Rural Land-Use Patterns and Processes
Agriculture
History


Type of Agriculture
- Intensive Agriculture 密集型耕种,人多地少,需要很多人
- Plantation Farming 种植园
- Extensive Agriculture 分散型耕种,人少地多,需要的人少
- Subsistence Agriculture
自给自足,发展中国家,小家庭生产,机器使用率低,劳动力数量多
- Hunter and Gatherers 采集渔猎,只存在于原始群落
- Pastoralism 粗放型游牧,常见于亚非洲的干旱地区或山区
- Transhumance 根据季节迁徙到不同海拔
- West Africa 西非(如加纳)
- 虽然一些农民从事自给农业,但有大量的商业农业专注于出口奢侈品,如咖啡和可可
- Crop Rotation 轮耕
- 是指在同一块土地轮流种植不同的作物,有助减少土壤侵蚀、保持土地肥力及增加产量
- 例子
- 从中世纪晚期到20世纪,欧洲农民均使用三圃制,将土地分为三块。一片在秋季种植裸麦或小麦,在春季则种植燕麦或大麦。另一片则种植豌豆、小扁豆等豆科植物。最后一片则休耕。三片土地轮换,使得一片土地每隔三年就得以休耕恢复肥力。在二圃制下,只有二分之一的土地会种植作物,而在三圃制下则有三分之二的土地能种植作物,让可用于种植的土地增加六分之一。额外的作物除了增加粮食产量,亦能在春季收获时补充北欧居民的营养。
- Shifting Cultivation 轮作制
- Slash-and-burn agriculture 刀耕火种,通过烧其他植物施肥,种植作物的方法,需要休耕
- Double Cropping 一年两熟,不同季节种植不同作物
- 女性在农业中就业比例较高的国家往往大多在农村,并依赖自给农业
- Commercial Agriculture
商品农业,发达国家,大规模生产,机器使用率高,劳动力数量低
- Agribusiness 农业综合型企业
- 包含农业的种植、包装、储存、分销等所有环节
- 以数量取得市场,可能会造成垄断
- Horizontal integration 水平垄断,消灭同行,比如控制国内所有玉米生产商
- Vertical integration 垂直垄断,所有产品线均不外包
- Types 类型
- Grain 谷类
- 小麦、玉米、水稻等主食
- 世界进出口最多的是小麦
- Mediterranean 地中海农业
- 分布在地中海气候地区(地中海,美国西海岸,澳大利亚西南海南等)
- Horticulture 园艺,Olives 橄榄油,Grapes 葡萄
- Commercial gardening and fruit 园艺和水果
- i.e. Truck framing
- 多分布于美国东南部
- 原产品部分直接分销,部分精细加工,专门化
- Mixed crop and livestock 种植畜牧混合农业
- 常见湿润地区(美国东部等)
- 将作物作为饲料,将粪便作为肥料
- 在美国,最常见玉米 corn / maize
- 中日常见 Soybeans 大豆
- Dairy 奶制品
- 适合干旱或半干旱地区,以供给草地
- Milkshed 奶制品供给区
- Ranching 大牧场畜牧业
- 粗放型农业
- Grain 谷类
- Monoculture 专门化农业
- 由企业所控制
- Third Agricultural Revolution 第三次农业革命
- 产量提高,稀缺性降低,价格降低
- 部分消费者拒绝转基因产品,接受有机农业
- Agribusiness 农业综合型企业
- Water-based Agriculture 水产
- Fishing 捕鱼
- Aquaculture 养殖
- Aquaculture 比例逐渐上升 Fishing 减少
Varies
- Level of Development 发展水平
- Physical Conditions 物理条件
- Cultural Preferences 文化差异
- 同一时刻,地点和季节不同,但气候相同,可以为我们供给全季节水果
- 美国一家典型的杂货店可能会在一年中出售主要在加利福尼亚州种植的橙子,在一年中不同时间出售主要在南非种植的橙子
- 加利福尼亚州和南非部分地区属于地中海气候,是种植橙子的理想选择。然而,这两个地区的生长季节不同,因此美国全年对橙子的需求得以满足
Animals
- Camels 骆驼
- Goats 山羊
- Sheep 绵羊
Family Fram & Specialized Agriculture
- 小型农业的契机
- 部分消费者反对转基因 / 激素 use no artificial fertilizers or pesticides
- 动物保护 animal welfare
- Specialized Agriculture
- non-GMO Foods 非转基因
- Organics 有机
- 没有添加剂、化肥等 Use no artificial fertilizers or pesticides
- 比非转基因的价格更高 Higher prices than non-GMO
- 可持续发展的农业 Sustainable form of farming
- Antibiotic and Hormone-free 无激素和抗生素
- 不仅限于这两种 Not necessarily the above two
- Heirloom Varieties 传统多样化
- 历史悠久且更少被商业化 Older and less commercially known varieties
- 蓝玉米、长条状的土豆 Blue corn, fingerling potatos
- Free Range 开放环境
- 考虑动物福祉和喜好 Animal welfare and flavor
- 开放型牧场或散养 Open pastures or large outdoor poultry pens
- 不要求饲料有机和非转基因
- Grass-fed Beef 吃草的牛
- 认为吃玉米和大豆的牛会口感不好 Corn-andsoy based cattle feed lead to less flavorful beef
- Alternative Livestock 替代动物
- 骆驼作为役畜可以拿来做毛织品,袋鼠可以拿来吃或者做成皮制品 Llamas as draft animals and for specialty wools, kangaroo for meat and leather to make athletic cleats
- Value-added Agriculture 增值农业
- 原产地加工 Food is processed on the farm
- 酒,奶酪,橄榄油,熏肉 Wine, specialty cheeses, olive oil, smoked and dried meats
- Chocolate: cottage industry巧克力 家庭手工业
- Community-supported Agriculture (CSA model) 社区支持型农业
- 直接联系制造者和消费者,保证消费者群体 Directly connect the producers and consumers
Challenges
- 如何避免丧失农业用地
- 如何提高农业生产力
- Green Evolution
- 专业化程度高,种植单一作物
- 扩大灌溉系统
- 易导致土地盐碱化
- 培育高产种子
- Fertilizer 肥料
- Conservation Tillage 免耕,保育
- 收成后将剩余物残留
- 除草剂
- Advantages
- 欠发达国家的农民能够通过种植和出口高产谷物而增加利润
- Disadvantages
- 导致土壤侵蚀和土壤肥力下降的双作物过程
- MDCs
- 谷物出口市场崩溃
- LDCs
- 农业化学品径流到污染水资源的当地地下水中
- 由于使用较发达国家首创的技术生产新作物品种所需的资本投资增加,欠发达国家许多农业社区的财富差距扩大
- Green Evolution
- 土地沙漠化,过度开发利用(e.g. 北京)
- 退耕还林,保护表层土和水
- 正确使用转基因科技
- Genetically Modified Organism (GMO) 转基因
- 优点:能够提高产量、更高的营养等
- 缺点:可能影响健康、难以出口
- 吃不饱饭的人的需求
- 小农户和 Agribusiness 的竞争
- 政府政策
- 宏观调控
- 补贴
- 援助其他国家
Map
主要农作物分布
Central Asia 中亚(阿富汗)
- Sheep 绵羊
- Walnut 核桃
- Broad Bean 蚕豆
- Horse 🐎
Southwest Asia 西南亚(伊朗,伊拉克,土耳其)
- Barley 大麦
- Cattle 牛
- Dog 狗
- Einkorn Wheat 单粒小麦
- Emmer Wheat 两粒小麦
- Goat 山羊
- Lentil 小扁豆
- Oats 燕麦
- Pig 猪肉
- Rye 黑麦
- Wheat 麦
- Olive 油橄榄
East Asia (中国,日本)
- Rice 水稻
- Millet 黍
- Chinese Chestnut 中国板栗
- Soybean 大豆
- Walnut 核桃
South Asia 南亚(印度)
- Chicken 鸡
- Finger Millet 穇子/手指黍
Southeast Asia 东南亚(菲律宾,印度尼西亚)
- Cocount 椰子
- Mango 芒果
- Taro 芋头
- Pigeon Pea 木豆
Sub-Saharan Africa 撒哈拉以南非洲
- Sorghum 高粱
- Yam 芋头
- African Rice 非洲大米
- Cowpea 豇豆
- Coffee 咖啡
Latin America 拉美
- Cassava 木薯
- Squash 南瓜
- Pepper 胡椒
- Potato 土豆
- Alpaca 羊驼
- Cotton 棉花
- Lima bean 利马豆
- Llama 骆驼
- Maize 玉米
具体地图

主要农业类型图

气候图

劳动力强度图

Rural Land-Use Pattern and Processes
Settlement Patterns and Survey Methods

Meters and Bounds 自然划分

- Meters and Bounds 定居点位于地块之间的随机模式
Township and Range 通过经纬线划分,美国,加拿大

- 单位块田模式,农场和村庄比较分散
Long Lots 长条状划分,如魁北克,法国殖民地等地区

- Long Lots 以 Water Way 水道为中心,以最大限度地增加定居者进入水道的机会
Bid-rent Curve
- 为了得到市中心的土地 不通的土地需求者 将会彼此竞价
- 零售机构为了使自身利益最大化,他们更愿意付出较高的租金去争取靠近中央商务区的土地
- 而对远离中央商务区的土地只愿意付出较少的租金
- 其原因是:越便利的区域(即与顾客联系最密切区域),收益越大
Von Thunen’s Model

- Intensive Agriculture 劳动密集型农业,如蔬菜水果或奶制品等,在模型中心最昂贵的土地上完成的
- Extensive Agriculture 劳动稀疏型农业,如放牧,在离集镇更远的廉价土地上完成的
- 成本与距离的原则是由生产作物所需的劳动力数量来调节的。乳制品需要高劳动力投入,并且具有易腐产品,需要在靠近集镇的小型农场生产

- Ring 1: 城镇、乡村或者城市中心
- Ring 2: Intensive Agriculture 劳动密集型产品: 蔬菜、乳制品、园艺农业
- Ring 3: 森林或木头
- Ring 4: Extensive Agriculture 劳动稀疏型产品: 种植业、草地
- Ring 5: 放牧地、草地
Fair Trade
- Trade Dependency 贸易的相互依赖
- 如美国向墨西哥出口了约5亿美元的牛肉,墨西哥向美国出口了约5亿美元的牛肉
- 两国都有强劲的养牛业,但某些肉类可以在一国与另一国出售,导致这种商品链和两个地区之间的相互依存
- 如美国向墨西哥出口了约5亿美元的牛肉,墨西哥向美国出口了约5亿美元的牛肉
- Fair Trade 平等贸易
- 一种主要较发达国家的消费者主要从欠发达国家的生产者那里购买商品的制度,旨在缩小不同地区之间的收入差距
Columbian Exchange
欧洲殖民者将牛、马、猪和鸡等驯养动物引入美洲。在此之前,美洲很少有动物被驯养。
香蕉植物从东南亚带到中美洲,以在美国和加拿大市场附近种植。
详细

The Second Agricultural Revolution 第二次农业革命
- Hybird 杂交技术
- Chemical fertilizers 化肥
- Chemical pesticides 化学杀虫剂
- Mechanization 机械化
- Tractors 拖拉机
Unit 6: Cities and Urban Land-Use Patterns and Processes
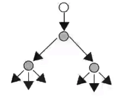
Central Place Theory
- 中心指的是 所有商品交换的中心
- Market Area (Hinterlands) 市场区域,通常会与其他不同尺度上的市场区域有重合(Overlap),是一个 Nodal (Function) Region
- 类似规模的城镇将均匀地分布在一个国家或地区
Shape of Market Area

- 圆形虽然到每个地方都是等距的,但是有重叠和空隙
- 方形虽然没有重叠和空隙,但是到不同边界到距离相差很大
- 折中后就需要用以六边形的形式来表示 Market Area
Urban Hierarchy

Market Area
- Range 范围,一个服务覆盖的最远相对距离(比如 Travel Time)
- Threshold 阈值,对一个服务的最小需求

Concept of Cities and Urban
Rank-size Distribution
- 在 发达国家 中,通常来说城市的排名和人口都遵循 Rank-size Rule
- 即 如果城市的人口为第 \(n\) 名,那么城市的人口就是 \(\frac 1n\) 的第一名的城市人口
- 但如果在 非发达国家 中的城市不符合 Rank-size
Rule,第一名城市比第二名城市多了不止 2 倍,那么说这个国家遵守 Primate
City Rule
- Primate City 首位城市,指的便是不符合 Rank-size Rule 国家的第一名城市
- Forward Capital 通常指的是某一国家新的首都(因为经济或政治迁移)
Agglomeration
- Agglomeration
聚集,相似或有关联的商业活动总会扎堆出现,降低成本,可以理解为产业配套
- 计算机硬件 / 软件企业大多在硅谷(Silicon Valley)聚集,是因为背靠斯坦福大学和 NASA 研究中心作为高科技增长极(Growth Poles)
- 汽车在底特律(Detroit)聚集,底特律在煤炭和钢铁资源有优势
- 银行在南达科他州(South Dakota)聚集,对于银行的税和管制比较有优势
Urban and City Types
- Urban area 市区
- Urbanized area 城市化区域,有至少 50,000 市民
- Urban cluster 有至少 2,500 至 50,000 市民
City Types
- Colonial city 殖民地城市
- origins as centers of colonial trade or administration 源于殖民时期的贸易或行政中心
- change name after independence: Bombay to Mumbai,Lolkata to Calcutta 常在独立后改名
- Fall-line city 瀑布线城市
- port city in Industrial Revolution 工业革命中的港口城市
- lay upstream on coas 海岸线上游
- break-in-bulk points where ships were offloaded and then packed with outgoing trade 货物在这里被卸下后集装,并参与离港贸易
- e.g, Boston, Philadelphia, Baltimore, Richmond
- port city in Industrial Revolution 工业革命中的港口城市
- Medieval city 中世纪城市
- before European Renaissance 欧洲文艺复兴之前
- e.g. Paris, Rome, London, Beijing, Cologne in Germany, Marseille in France, York in England, Samarkand in Uzbekistan, Kyoto in japan
- Gateway city 门户城市
- where immigrants make their way into a country 移民进入国家的地方
- e.g, NYC, Miami, Toronto, Vancouver
- Entrepôt 货物中心
- goods are shipped in at one price and shipped out to other port at a higher price 货物以一个价格运入,以更高的价格运出到其他港口。
- lack of customs duties 无关税
- e.g. Singapore, Hong Kong, Dubai
- Megacity 大都市
- a metropolitan area with more than 10 million people 人口超过1000万的大都市地区
- 28 cities
- Megalopolis 特大城市
- two or more cities merge together, generally through suburban growth and expansion 因为市郊发展或扩张,将两个或以上的城市合并
- conurbation 城市群
- World city 世界城市
- urban hierarchy 城市等级排行
- 第一梯队 first-order world cities: NYC, London, Tokyo
- 第二梯队 second-order world cities: LA, Washington, D.C., Chicaga, Frankfurt, Paris, Brussel, Hong Kong, etc
- 第三梯队 third-order world cities: Miami, Toronto, Mumbai, Amsterdam, etc
- center for finance, trade, commerce 金融、贸易、商业中心
- Primate city
- twice the population of the country’s next largest city 人口数量为本国第二大人口城市的两倍
- urban hierarchy 城市等级排行
- 与周边国家的城市相比,位于半外围国家的城市更能克服提供公共服务的挑战
- 德国鲁尔谷和美国宾夕法尼亚州匹兹堡钢铁生产中心的城市化和增长可以用
- 当地大量煤炭和交叉河流供应
- 美国西南部边缘城市的快速发展
- 大量人口从中西部移民,以适应温暖的气候和公司为经济激励而搬迁时产生的就业机会
- 棕地的重新开发使通常位于城市中心并拥有现有基础设施的废弃地区得以重新使用
- 可持续
- 混合土地利用开发将住宅和商业用地混合在一起。混合用途开发旨在改善行人连接,并提供工作场所附近的住房选择。步行能力的提高与环境和经济效益有关
- Leapfrogging
- 跳跃是一种分散在主要发达地区的地方
- Gentrification
- 绅士化是指由高收入居民或投资者完成的城市住房翻新
Models of City
Central Business District
- 城市的中心一般在 CBD,CBD 的高租金使得工厂和住宅区几乎不可能在周边
- Bid Rent Curve 很好的描绘了城市中用地的情况

- Levitown

- Multiple Nuclei Theory



Unit 7: Industrial and Economic Development Patterns and Processes
Development
Human Development Index (HDI) 人类发展指数
- 生活水平
- 长寿且健康
- 教育水平

Development Region 发展地区

基于联合国 HDI 由高到低排列,tie 表示并列:
- North America 北美
- Europe 欧洲
- Latin America 拉丁美洲
- East Asia 东亚
- Southwest Asia and North Africa 西南亚和北非
- (tie.) Central Asia 中亚
- (tie.) Southeast Asia 东南亚
- South Asia 南亚
- Sub-Saharan Africa 撒哈拉及以南非洲
Standard
Income 收入
- Gross National Income (GNI) 国民生产总值
- 一个国家每年提供的商品和服务的粗略总价。
- Purchasing Power Parity (PPP) 购买力平价
- 评价一个国家货币的购买力
Economic Structrue 经济产业结构
- The Primary Sector 第一产业,农业(有时包括采矿、渔业、伐木业)
- The Secondary Sector 第二产业,工业(制造业)
- The Tertiary Secotr 第三产业,服务业(例如,销售、银行、法律、教育等)
Productivity 生产力
- 商品价值和所需劳工数量的商。

Access to Knowledge 教育水平
- 假设:无论学校资质如何,一个人接受教育越多,知识水平越高
- 25 岁后受教育年份
- 青少年在校年份
- 学生老师比
- 识字率

Health and Wealth 健康和财富
- Life Expectancy at Birth 出生时预期寿命
- Consumer Goods 日常消费品
- Internet Users 网民数量
- Motor Vehicles 机动车占有量
Inequality
Unequal and Uneven Development 不平等不均衡发展
- Inequality-adjusted Human Development Index (IHDI) 加入不平等参考后的人类发展指数

Gender Inequality 性别不平等
- Gender Inequality Index (GII) 性别不平等指数
- 以生育健康,影响力和劳动力市场三个维度分析,类似 IHDI,数值越高不平等越严重。
- Gender-related Development Index (GDI) 性别相关的发展指数
- 以 HDI 的三个维度量化性别的发展指数。
- Gender Empowerment and Employment 性别影响力和就业率
- GII 中的一个因素
- Empowerment 影响力
- National Legislature 政治权利
- Secondary School Ratio 中学及以上学历比率
- Employment
- Female Labor Force Participation Rate 女性劳工参与率
Reproductive Health 生育健康
- Maternal Mortality Rate 孕产妇死亡率
- Total Fertility Rate (TFR) 生育率
\(\text{TFR}=\frac{\text{Number of Children Born}}{\text{Women Aged 15 to 45}}\)
Wallerstein’s World Systems
- 世界体系理论将国家分为三类:核心国家、半外围国家和外围国家,从外围到核心的可能性很小。

HDI and Gender Inequality HDI 和性别不平等

Challenges
Two Paths to Development 发展的两大模式
- Self-sufficiency Model 自给自足模式
- 鼓励国产商品,拒绝外资企业,将国内经济隔绝于世界经济
- 对外国商品设置高额关税、设置 quota 限额或要求许可。
- International Trade Model 世界贸易模式
- 亚洲四小龙(韩国,新加坡,台湾,香港)、阿拉伯联合酋长国。
Rostow Model
- Traditional Society 传统社会。以农业发展为主,国家财富来自于「非生产活动」,如战争和宗教。
- Precondition for takeoff 腾飞前夜。开始改革技术,发展交通。
- Takeoff 腾飞。有限的飞速发展,有些商业活动开始发展(如纺织业、食品生产业)。
- Drive to maturity 走向成熟。工人愈发专业,分工愈发细化。
- Age of Mass Consumption 大众消费时代。重心从重工业转向消费品市场。
- 罗斯托的发展阶段可以很容易地适用于美国和日本等国家,但不太容易适用于刚果民主共和国和玻利维亚等国家
- 强调发达国家有欠发达国家可供开采资源
World Trade 世界贸易
- World Trade Organization (WTO) 世界贸易组织
- 减少贸易关税壁垒
- 制裁
Financing Development 金融发展
发展中国家募集资金的来源
- Foreign Direct Investment (FDI) 外国直接投资额

- Loans 贷款
- the World Bank 世界银行
- 向各国提供贷款,以改革公共行政和法律机构,发展和加强金融机构,实施运输和社会服务项目
- International Monetary Fund IMF 国际货币基金组织
- 旨在帮助一个国家重建国际储备、稳定货币汇率、支付进口费用
- the World Bank 世界银行
Development Challenges During Hard Times 艰难时期的发展挑战
- Stimulus Strategy 刺激方案
- 凯恩斯主义
- Austerity Strategy 紧缩方案
- 减少税收、减少开支
- Microfinance 小型贷款
- Fair Trade Standards 公平交易标准
- 保护从发展中国家出口到发达国家的商品
- Fair trade for workers 工人的平等交易
- 保证工人的工作条件、福利政策等
- 工会联合工人罢工
- Fair trade for consumers 消费者的平等交易
Industrialization 工业化
- Watt’s Steam Engine Watt 蒸汽机
- Cottage industry system 小作坊工业系统
- Gild 行会
- Industrialization 工业化
- Background 背景
- pro-industrial practices since 1600s 自 16 世纪以来一直在支持工业化
- flying shuttle, spinning jenny 飞梭,珍妮纺纱机
- for cotton manufacture 用于棉花纺织
- as early as 1733-1764
- Enclosure Acts 圈地法
- fence off for landowners 为地主设置围栏
- farmers fled to cities, larger labor pool 农民逃往城市,有了更多的劳动力
- depletion of forests 森林枯竭
- increase demand for coal 煤炭需求增加
- coal mining 煤矿开采
- machine power 机器动力
- increase demand for coal 煤炭需求增加
- road and canal system 道路和运河系统
- large supply of iron and coal 煤和铁的大量供应
- location in the Atlantic 位于大西洋沿岸
- Steam Engine 蒸汽机
- by James Watt
- used in textile and coal mining 用于纺织业和煤矿开采
- Spread and Mature 传播和发展
- 1807, steamship 蒸汽机. 1820s railroad 铁路
- 1837 telegraph 电报
- factory system, systematize, large scale 工厂系统,系统化,大规模
- interchangeable parts by Eli Whitney and Samuel Colt 可交换部件
- Second Industrial Revolution 第二次工业革命
- Bessember process 1850 酸性转炉炼钢法
- steel cheaper and easier 炼钢更多更简单
- electricity 1879, Thomas Edison 电力系统
- petroleum 石油 1859, rubber 橡胶, internal combustion engine 内燃机 1866
- telephone 手机 1876, radio 收音机 1895, airplane 飞机 1903
- Bessember process 1850 酸性转炉炼钢法
- Background 背景
Impact 影响
- Two models 两大模型
- Free Market 自由市场
- laissez faire 自由放任
- most European countries & America 大多数欧洲国家和美国
- State Capitalism 国家资本主义
- German, Japan 德国日本
- Free Market 自由市场
- Social Structure 社会结构
- aristocracy declined 贵族阶层减少
- bourgeoisie benefited 中产阶级获益
- working class expanded 工薪阶层扩大
- 1848 revolutions 1848年革命
- Urbanization 城市化
- City and population grow 城市和人口扩张
- skyscraper, sewers, sidewalks 摩天大楼,下水道,人行道
- polution and overcrowded, disease 污染、拥堵、疾病
- medicine and hospital imporved 医疗卫生条件提高
- standrad of living rise but unfair 生活水平提高但是仍然不平等
- City and population grow 城市和人口扩张
- Capitalism and Socialism 资本主义和社会主义
- Trade Union 贸易联盟
- Fair labor laws 劳工保障法
- Liberals and Reformers 民主和改革者
- New Business 新经济
- rise of big business 大经济的崛起
- monopoly 垄断
- John D. Rockefeller’s Standard Oil Company
- robber barons 邪恶资本家
Energy
- Fossil fuels are nonrenewable 石油不可再生。
Industrial Areas
详细



Industrial Factors
- Situation
- 描述一个区域的相对情况。
- Site
- 描述一个区域的绝对情况。
Situation Factors
- Proximity to Market 靠近市场
- Bulk-gaining Industry 重量增加型工业
- Break-of-bulk Point 交通工具切换处
- Just-in-time Delivery 及时交付
- 在需求前交货,减少仓储费用
Resources Challenges
Demand for Energy

Fossil Fuel Reserve
- 煤炭、天然气、石油
- 中国是世界第一的煤炭开采地,美国是第二。

Fossil Future
- 发达国家会减少对本国石油的使用,使用进口石油。


Nuclear Energy 核资源
- 核泄漏
Energy Alternative
- Hydroelectric Power 水能
- Biomass 生物能
- Wind Power 风能
- Geothermal Energy 地热能
Pollution 污染
Air Pollution
- Climate Change 气候变化
- Greenhouse Effect 温室效应
- Ozone Damage 臭氧层破坏
- Regional-Scale Air Pollution 地区性空气污染
- Emerging Industrial Region 新兴工业区域
- supply chain 供应链
- e.g. Fordist production
- post-fordist era 后福特时代
- Outsourcing 将工厂设在发展中国家
- 富士康
- supply chain 供应链
- Bric Countries 金砖国家
- Brazil, Russia, India, China
杂项
- Sahel / Sub-Saharan,撒哈拉沙漠以南到苏丹草原以北的区域
- Muslim,穆斯林,分为逊尼派(Sunni)和什叶派(Shia)
- Sunni,逊尼派,原教旨主义,占大多数
- Shia,什叶派,拥护 Ali,伊朗人(波斯人),伊拉克
- Nomothetic,研究通用的
- Idiographic,研究具体的
- Anthropogenic,人为的
- Apartheid,种族隔离
- Transhumance 游牧
- Pastoral nomads 田园游牧民族
